Para calcular quantos tijolos de 8 furos são necessários por metro quadrado, é importante entender as dimensões do tijolo e como eles são assentados. Vamos detalhar o cálculo:
Dimensões do Tijolo de 8 Furos
Confira:
Um tijolo de 8 furos típico no Brasil geralmente tem as seguintes dimensões:
- Comprimento: 19 cm
- Largura: 14 cm
- Altura: 9 cm
Essas medidas podem variar ligeiramente, então sempre é bom verificar as especificações exatas do tijolo que você está usando.
Cálculo de Tijolos por Metro Quadrado
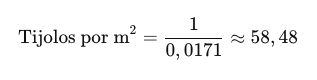
Para calcular quantos tijolos são necessários por metro quadrado, usamos a seguinte fórmula básica:
Calcule a área de um tijolo em metros quadrados:
Área do tijolo=Comprimento×Altura=0,19m×0,09m=0,0171m2

Considerações Adicionais
- Junta de Argamassa: É importante incluir a espessura da argamassa nas contas. Normalmente, as juntas de argamassa têm cerca de 1 cm de espessura. Isso pode diminuir o número de tijolos por metro quadrado, ajustando o cálculo para aproximadamente 45 a 50 tijolos por metro quadrado.
- Perdas e Quebras: Considere adicionar cerca de 5% a 10% a mais de tijolos para cobrir quebras e desperdícios inevitáveis durante o assentamento.
Exemplo de Cálculo
Se você estiver calculando para uma parede de 10 metros quadrados, e considerando as juntas de argamassa e perdas, você precisará de:
- Estimativa de tijolos sem perdas: 58,48 tijolos/m² × 10 m² = 584,8 tijolos
- Com perdas (10%): 584,8 + 58,48 ≈ 643 tijolos
Portanto, é seguro comprar entre 630 e 650 tijolos para garantir que você tenha o suficiente para completar a obra.
Resumo
Para um metro quadrado de parede, considerando a argamassa e possíveis quebras, você precisará de aproximadamente 45 a 50 tijolos de 8 furos. Sempre é bom comprar um pouco mais do que o calculado para cobrir eventuais perdas.
Se tiver mais dúvidas ou sugestões, compartilhe nos comentários!










